|  | 
 |    | ||||||||
| 
 
 
 
 
 
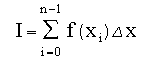
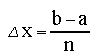
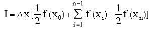
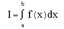
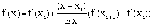
 | Integration of functions is a common task in numerical analysis. In this chaper we look at some basic techniques. As found in your calculus book, the integral of function f(x)       can be approximated by the summation of the areas of slices, or rectangles, beneath the function        where       and  This approximation can certainly be used for numerical integration but it will not provide very accurate values for most functions of interest. The flat top of the rectangle will not match well with curving functions and this error will accumulate for practical values for n. As n increases, eventually the accumulation of round off errors becomes the dominant error. If we approximate the function over the dx interval with the linear interpolation formula:       then for a fixed           or        This is called the trapezoid rule as the sum is over the areas of trapezoids with sides of heights f(xi) and f(xi+1)and width delx. 
 References & Web Resources | 
 
 | ||||||||
|    |  |